1.0 - Minimum Spanning Tree Algorithms
1.1 - Prim’s Approach
🌱 Look in previous lecture for notes.
1.2 - Kruskal’s Approach
🌱 Initially create a graph with
forests (each vertex is a forest) and add least-cost edges that merge forests together. At each step, we perform a locally optimal, greedy action such that it produces a globally optimal solution
T is always a spanning acyclic subgraph; A forest of trees
- Initially, T contains all vertices G.V but no edges.
- At each step, the least-weighted edge that connects any two trees in the forest T is added to T.
- The algorithm stops when T is connected.
1.2.1 - Disjoint Set Data Structure
🌱 To use Kruskal’s algorithm, we need to create a Disjoint Set data structure
The trees in T form disjoint sets of G.V
- A disjoint-set data structure maintains a collection
of disjoint dynamic sets. DisjointEach element is only in one setDynamicConstantly changing, in that we are merging sets together
- Operations are avilable to
make_set(x)Add a new set that contains element x. Requires that x is not a member of another setfind_set(x)Returns the representative element for the set containing x.union(x, y)Merge the set that contains x with the set that contains y. Uses thelink(x, y)subroutine
1.2.2 - Disjoint-Set Implementation as Disjoint-Set Forests
- The sets are represented by rooted trees
Rooted treestree where the root has a singled-out node as the root
- The root of each tree is it’s
representative element - Each element x stores:
x.pThe parent of x in its tree (or itself if it is the root - we use this property to identify the root node)x.rankAn upper bound on the hight of x in this tree - this is important, as our time complexities are dependent on the height of the tree. Storing this allows us to take actions that minimise the height of the tree.
1.2.3 - Operation Analysis
🌱 The
make_set(x)method runs intime.
- The
make_set(x)method is constant-time as all we need to do is construct a tree containing the element x, and only the element x - In doing this, we set its root node to itself (to designate it as the representative element of this set) and set its rank to 0.
make_set(x):
# Set x to be its own parent
x.p = x
# Set rank (height) of node to 0
x.rank 0
🌱 The
find_set(x)method runs inworst case, and time typically.
- The
find_set(x)method returns the top node in the set- This node is the identifier (representative element) in the set
- It is the only node whose parent is itself.
- It applies a
path compression heuristicwhich flattens the tree by setting each node’s parent to representative element
find_set(x):
# not representative element
if x ≠ x.p
# set current node's parent
# to representative element
x.p = find_set(x.p)
return x.p # if x = x.p
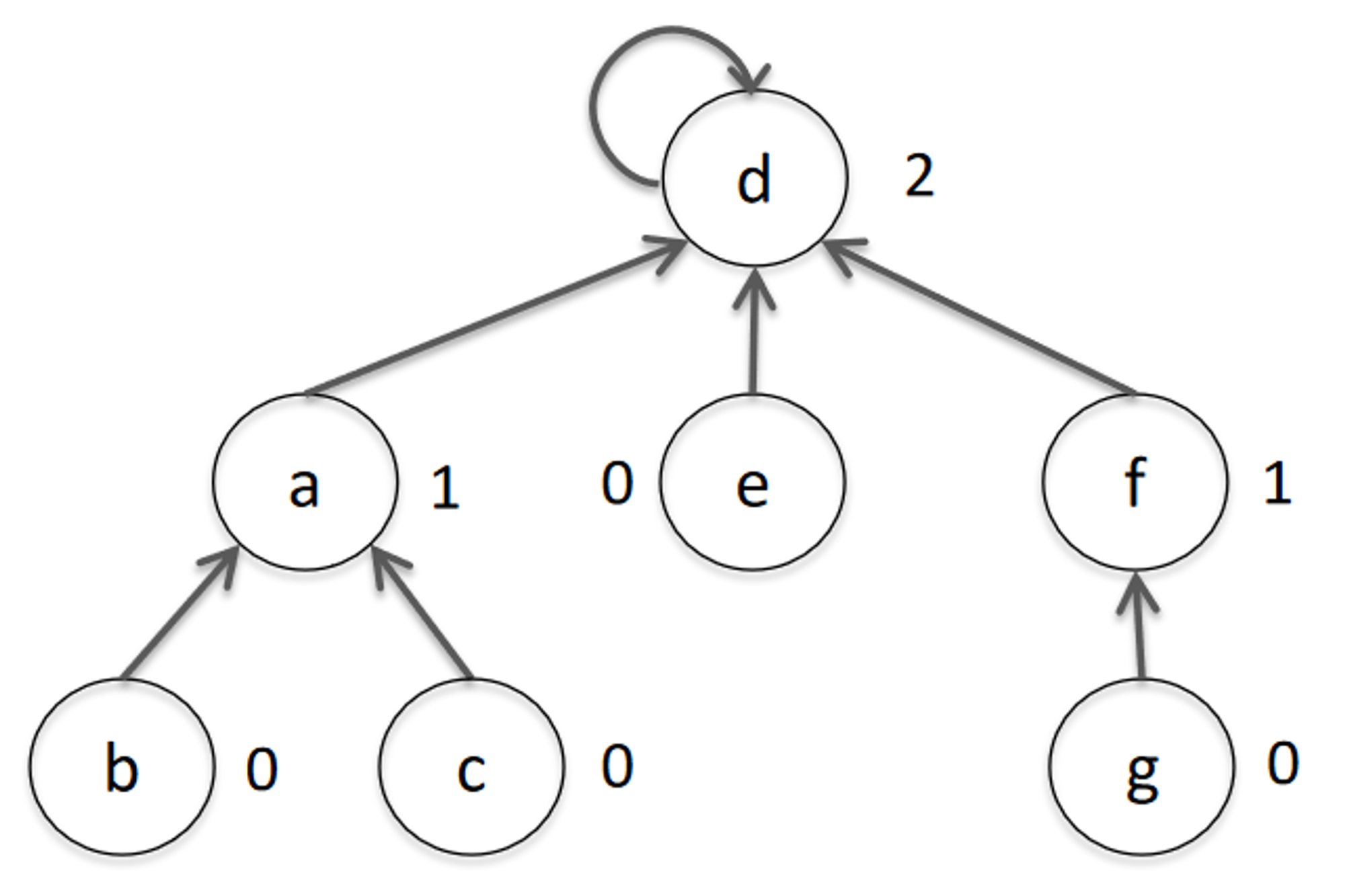
- As it traverses the parent links, it collapses them, making them point directly to the top node - this transforms the disjoint forest tree from the left-most figure to the rightmost figure
- Observe that
is still the root node (representative element) and all of the others’ parent nodes have been updated.
- Observe that
🌱 The
union(x,y)method merges the two sets that contain x and y into a single tree.
-
The
union(x,y)method merges the sub-trees that contain elements x and y into a single tree, in which its height is guaranteed to be less than or equal to. -
It utilises the link subroutine
- In this, we want to link trees in an intelligent manner, to minimise the height of the tree
- If the height of the two trees are equal, we arbitrarily choose one as the parent, and increment the rank of new root node to account for new growth
link(x,y)
if x.rank > y.rank
# Set the parent of the shorter tree's
# root node to taller tree's root node.
y.p = x
else
x.p = y
# If the ranks are equal, choose y
# as parent, and increment y's rank.
if x.rank == y.rank
y.rank = y.rank + 1
union(x,y)
link(find_set(x), find_set(y))
-
It applies a rank-by-union heuristic - trees with fewer nodes is made to point to the tree with more nodes
-
Runs in ‘almost
’ time - time where is the inverse Ackermann function which grows extremely slowly. -
The rank of a node is determined by the maximum rank of its children (if any), incremented by one.
as leaf node
- In merging the two (above) forests together, we want to do it in such a way that it minimises the height of the tree (as our time complexity is bounded by the height of the tree).
- Therefore, we add the root node of the smaller tree as a child of the root node of the larger tree.
-
Algorithmically, we represent this as follows
mst_kruskal(G, w): # Graph, weights T = ∅ for each vertex v ∈ G.V make_set(v) sort the edges of G.E into non-decreasing order by weight w for each (u, v) taken from the sorted list if find_set(u) ≠ find_set(v) # Add edge (u, v) to MST subset if # u and v are in different forests. T = T ∪ {(u, v)} union(u, v) return T- The make_set(v) method takes
time, and is performed times so initialisation takes time. - Sorting takes
time - The for-loop is run
times, once for each edge. - In the for-loop, call find_set four times - this is
- The total time complexity of the for loop is
- In the for-loop, call find_set four times - this is
- In total, the time complexity of Kruskal’s algorithm using the disjoint-set forest data structure implementation is
- The make_set(v) method takes
1.2.4 - Example of Kruskal’s Algorithm
-
First begin with the start vertex A, and add all of the vertices into the disjoint-set data structure.
-
At this point, no vertices are connected, and there are
forests in the graph T. -
We then choose the weight with the lowest cost that connects two forests together - in this case, edge
has a cost of 1 so we add it to our MST graph. -
In doing this, we merge the forest containing
with the forest containing in our disjoint set data structure
- We choose the next edge with the lowest cost and add it to our MST graph, being the edge
- In doing this, we merge the forest containing
with the forest containing in our disjoint set data structure.
- We choose the vertex with the next lowest cost that connects two forest together - in this case, edge
. - We add this to our MST graph.
- We choose the vertex with the next lowest cost that connects two forests together - in this case, edge
- We add this to our graph.
- We choose the next vertex with the next lowest cost that connects two forests together - in this case, edge
- We add this to our MST graph.
- Observe that this requires the joining of the disjoint sets
- Here, the edge with the next lowest cost is
but it doesn’t conect two forests together, so we don’t add it to our graph - We continue with our search, evaluating the next edge.
- Here, we add the edge
as it connects two disjoint forests. - We add this to our MST graph.
- The edge with the next lowest cost is
but it doesn’t connect two disjoint forests so we don’t add it to our MST graph being constructed.
- The next edge with the lowest cost is
and it connects two disjoint forests, so we add it to the MST graph being constructed.
- The next edge with the lowest cost is
but it doesn’t connect any disjoint forests so we don’t add it to the MST being constructed.
- The next edge with the lowest cost is
but it doesn’t connect any disjoint forests so we don’t add it to the MST being constructed.
- Finally, the edge with the highest cost is
but it doesn’t connect any disjoint trees. - At the end of this process, we have constructed the MST for this graph.